联系电话 
189-0339-0754 / 138-3214-7329
石家庄PA直营电子科技有限公司
公司地址:河北.石家庄市长安区丰收路188号
联系电话:189-0339-0754
公司邮箱:zhuoxuankj@126.com
作者:石家庄PA直营电子科技有限公司 发布时间:2020-04-08 08:56:51点击:3525
在模块电源的实际应用中,外接输入、输出电容的选取往往会从几个方面入手:
1. 电容额定耐压值;
2. 电容的容值;
3. 电容的使用寿命。
下面介绍 1、2 点是如何去选取输入、输出电容的。
一、从电容的额定耐压值去选取
1.AC-DC 整流滤波电容耐压值选取:在 AC-DC 整流滤波电路中,根据公式

我们能计算出整流后的理论直流电压的大小。
例如:在输入 90-265Vac 的整流电路中,通过公式计算可以得出整流后的电压范围在 127-375Vdc。根据经验我们一般会选取耐压值在 1.1-1.3 倍理论计算电压值的电容,考虑成本因素有些设计者也会考虑 1.0 倍理论计算电压值的电容。
2. 在 DC-DC 电源应用中,外接输入电容的耐压值我们一般会选用 1.3-1.4 倍耐压。
例如:输入电压为 48V 那我们选用的滤波电容耐压值就为 63V。原因是 DC-DC 的电源启动电流大,容易导致二次冲击电压过高,从而损坏器件。
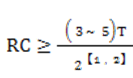
二、从输入电容的容值选取
在许多文献中,对于滤波电容 C 的选取,多使用经验公式:

并认为滤波电容 C 越大越好;在一些滤波电路的维修中,技术人员经常用比原电路容量大的电容来代替已坏掉的电容。
从理论上讲,增大电路中的滤波电容 C 容量的确可以使输出电压的波形变得更为平滑、起伏更小,但在电路接通瞬间,电路中所产生的冲击电流因素却不能被忽略;在一些滤波电路的维修中对滤波电容的替换也存在冲击电流的问题,在不更换其他元件的前提下,单纯提高滤波电容的容量会使整个电路的实际使用寿命大大缩短,甚至烧毁整个电路。况且,
三、输出电容的选取
输出电容的选取,一般考虑的因素是电源的输出纹波噪声和电源的负载能力(容性负载)。在成本允许的情况下,很多人都会认为外接输出滤波电容是越大,可以减小纹波噪声干扰,对系统供电更为稳,这是一种错误的观念。
输出滤波的电容的选取,不单单是考虑纹波噪声因数,还要考虑模块电源的启动能力和承受输入冲击电流的能力。外接输出电容容值在一定大小的时候对纹波噪声起到减小作用,但随着外接电容的不断增大纹波噪声会处于一个平衡值。反观输入电流波形,在输出电容增大情况下启动时,输入电流维持在大电流时间会越长。假如使用的模块抗输入冲击电流小,这样就可能导致模块在一定时间下受冲击电流过大而损坏。所以外接输出电容也不是越大越好,这要根据模块的启动能力和承受电流冲击能力来选定的。
在模块电源的使用过程中合理外接输入、输出电容是对模块模块电容的一种保护,同时也大大提高了电源的使用寿命,减小了因电源输入、输出不稳定而带给整个工作系统存在的不必要隐患。
PA直营电子电源模块的优势:在电源模块产品说明中都会给客户详细推荐最为合适的外围电路和外接电容的容值大小,有效的保证了模块在应用场合下的最佳环境,同时也保证了客户使用的安全性和可靠性。避免了因外接电容选型不对带来给模块和整个系统的损失。
PA直营电子自主研发、生产的隔离电源模块多年行业积累,目前产品具有宽输入电压范围,隔离 1000VDC、1500VDC、3000VDC 及 6000VDC 等多个系列,封装形式多样,兼容国际标准的 SIP、DIP 等封装。同时PA直营电子为保证电源产品性能建设了行业内一流的测试实验室,配备最先进、齐全的测试设备,全系列隔离 DC-DC 电源通过完整的 EMC 测试,静电抗扰度高达 4KV、浪涌抗扰度高达 2KV,可应用于绝大部分复杂恶劣的工业现场,为用户提供稳定、可靠的电源隔离解决方案。
